歡迎來到江蘇安科瑞電器制造有限公司!
服務熱線:18795630583
產品分類
Cassification
更新時間:2023-12-25
瀏覽次數:485摘要:本文介紹了中低壓開關柜內部發生電弧故障的原因、危害以及弧光保護在中壓母線保護中的原理、用途、應用關鍵點,同時還介紹了弧光保護應用現狀,探討了無線測溫在線監測系統在實際工作場景中的應用案例,證明了其在電力監控方面的重要應用價值。
關鍵詞:弧光保護
0引言
與變電站高壓開關柜、室外刀閘開關等一些重要的設備,經過長期的運行,往往開關觸點以及母線連接出會由于老化、接觸過大的電阻而發熱,而這些發熱位置的溫度不能得到提前預警監測,就容易導致安全事故的發生。我們知道,高壓設備接頭部位的溫度難以監測,這主要是由于此部位都會有高壓裸露,采用一般的溫度測量方法由于不能解決高壓絕緣問題,所以都不可使用。無線測溫監測裝置,通過無線電波來傳輸信號,傳感器主要是安裝到高壓設備上,同接收設備間無電氣聯系,所以,無線測溫系統能夠從根本上解決高壓設備發熱部位溫度監測難的問題。
我國的電力工業已經進入大規模的發展建設,大量的用電設施,因此,這時我們需要在安全可靠、經濟運行的背景下,提供這些需求,但是電力方面的發展還不夠完善,存在著弊端和安全隱患。本文就幾個方面來探討中低壓系統母線裝設弧光保護的必要性。
1重視中低壓母線故障的原因
我國電力發展建設的速度超前,它已經進入人電網、大機組輸電階段,并且對發電機組的容量要求越來越高,這時就需要在安全運行方面要跟上要求,因為單臺大機組的運行情況,會直接影響到整個電網的運行穩定性、安全性以及經濟性。同時,發電廠的用電系統與安全運行,對發電機組的影響也越來越大。由此可以看出,如果中低壓母線出現故障,它會產生弧光,所產生的弧光對電力設備及人本身有影響,會造成不同程度的損傷,有時還會引發“鏈式反應"。國家對于這個問題重視,按照我國現行的繼電保護設計標準來看,在配置方面一般不會使用專用的設備進行保護,而是采用另一種方法,即借助于上一級元件的后備過流的方法來保護,從而切除中低壓系統母線短路的問題,這樣的做法是有弊端的,電路故障應該用短時間去維修,而這類保護方法會導致維修時間延長,對設備也有一定的損傷。這些問題如果沒有使用恰當的方法,還會引起不同程度的故障,輕則會發展為輸電網故障,重則會使電力系統出現整體的故障。
2中低壓系統母線故障發生的原因
弧光放電燃燒,表示著中低壓母線出現了故障。中低壓母線所釋放的能量,它發生故障時所產生的弧光,會使壓力和溫度瞬間升高,形成電弧之后,與它接觸的空氣會被立刻電離,繼而會產生具有高能量的爆炸性壓力和高溫,在產生這些巨大能量的時候,如果沒有及時被切除,將會對設備以及人員造成不同程度的損傷。然而,造成中低壓開關柜內出現這類故障的原因有很多。
2.1設備質量不過關
沒有科學合理地設計開關柜的結構,開關柜過大或者過小,再加上制造質量沒有做到位,在正式投入使用時,會導致絕緣處老化以及機械設備受到磨損,從而會導致它的絕緣水平程度下降,設備質量方面,需要為后面的使用打下良好的基礎,質量方面如果不過關,就會導致后續出現問題。
2.2運行維護不到位
運行維護方面也是重要的,它在什么樣的環境下使用,關乎到系統的穩定性與安全性。如果在高溫、潮濕、化學侵蝕等這些惡劣環境下運行,所使用的絕緣材料便容易受損,會縮短它的使用期限,而在絕緣的表面,會出現一些不同程度的損傷,絕緣便會出現故障,進而 就會導致中低壓母線系統出現短路的故障。
2.3維護操作不當
電廠的檢修維護在整個系統中起著關鍵的作用,而有些人對這個工作不重視,常常會出現由于操作不當而出現的故障,如在檢修時,誤將自己的工具遺落在開關柜中、忘記測量并記錄自己所在工作區域的電壓等, 這些典型的操作不當,都會引起中低壓系統母線出現故障,進而導致出現更大的問題。
2.4其他
除了上述這些因素以外,還有一些由于工作人員的不認真造成的故障,如開關柜沒有密封好,一些小動物會偷偷溜進去,對絕緣處進行啃咬,從而導致中低壓系統母線出現故障。除此之外,電力系統的迅速發展,電網的結構總是在不停地改變,用電的情況增多,從而導致電纜增多,電量超負荷,也是故障出現的所在。
3 弧光母線的保護系統工作原理
弧光產生斷路的危害性,弧光會在開關柜內發生爆炸,而燃燒的氣體和熱能會迅速擴散到周圍,并且它還能融化和蒸發金屬,由于這些危害,我們才需要一個保護系統。不僅這樣,任何設備都需要保護,中低壓系統母線也不例外。而電弧光母線的保護系統,是一種針對中低壓系統母線的特點經過多位專家研究出來的系統,它具有多種優點,它適用于各種運行方式,在各種運行方式下都不需要人為進行切換就能進行保護,這是一個便利的系統,不僅能起到很好的保護作用,還能提高可靠性,是一個理想型的保護中低壓系統母線的解決辦法。
3.1弧光的原理
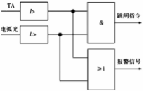
弧光保護的原理,如圖 1所示,它的動作判斷據為故障時產生的兩個條件,也就是弧光和電流增量。在發生故障時,它會檢查開關柜,然后,在同時檢測到弧光和電流增量時,就會下達跳閘的指令。

圖1 弧光保護原理示意圖
3.2弧光的特點
人們選用這個保護系統,是由于它具有很多明顯的優點:①它的原理簡單、通俗易懂,保護結構簡單,它在發生故障時,只需要檢查開關柜內,然后,在同時檢測弧光和電流增量,就會下達跳閘的指令;②能夠更快迅速 地發現故障并起到保護作用,當出現電路故障時,應該用及時地去維修,而這個系統能快的發現故障,以檢測弧光信號和過流關閉為依據,從而可以實現保護的可靠動作,這個系統起到一個連鎖反應,本身會連鎖自我檢查,如此就能夠充分地保證整個系統的安全性以及可靠性;③能準確地找出故障點并準確定位,在發生故障時,它能夠準確地找出故障點,并且能夠準確地標記故障點的位置,能保證工作人員在維修時,能快速地找到故障位置,并且處理故障來恢復供電系統;④在斷路器不起作用時,起到一個保護作用,在主斷路失控的情況下,它可以發出一個指令,不受其他機器的控制,跳過上一級完成跳閘動作,從而提高系統的安全性與可靠性。
4 弧光保護系統與變壓器后備過流保護的對比
弧光保護系統是專門用于來保護中低壓系統母線的系統,它的動作時間快,相比于傳統的保護系統,要更具有*性,它采用弧光和電流閉鎖的方法來進行雙重判斷,增加了它的可靠性,從而對安全性能也有了一定的保障,它在發生故障時,能準確地定位,減少了維修人員查找的時間,大大減短了維修時間,從而來保障故障之后快速供電。
而變壓器后備過流保護它也有優點,它不需要專門的1套裝置系統,工作量較小,而且它不能像弧光保護系 統那樣對故障點準確定位,耗費的時間長,并且可靠性低。
5安科瑞ARB5-M弧光保護裝置
5.1產品選型說明
ARB5-弧光主控單元

(1)*表示可選附件。
(2)主控板和采集板數量之和不能大于4。
(3)弧光探頭到采集板的長度不能超過20米。
(4)如有特殊要求,請特別注明。
5.2功能和技術參數

5.3弧光保護產品現場安裝
弧光保護主控單元、探頭安裝圖如下:



6結語
隨著我國電力建設的發展,發電廠日漸增多,發電廠中的中壓開關柜也日漸增多,而隨之而來的就是故障不斷地出現,因此,我們對中低壓系統母線的保護,應該越來越重視。中低壓系統母線的保護,不僅需要熟練地掌握技術,還需要一些保護系統來協調配合完成,而弧光保護系統作為一個理想的解決方法,可以有效地解除故障,減少設備維護的次數,提高電力系統的經濟效益,提高電力系統的安全性和可靠性,保證電力可以不斷地供給,從而保證了整個電力系統安全、穩定地運行。